MATLAB提供了多种方法来解决微分和积分问题,求解任意程度的微分方程式以及计算极限。最重要的是,您可以轻松求解复杂函数的图,并通过求解原始函数及其导数来检查图上的最大值,最小值和其他文具点。
本章将讨论微积分的问题。在本章中,我们将讨论预演算的概念,即计算函数的极限并验证极限的性质。
在下一章微分中,我们将计算一个表达式的导数,并求出图的局部极大值和极小值。我们还将讨论求解微分方程。
最后,在“ 积分” 一章中,我们将讨论积分演算。
计算极限
MATLAB提供了 limit 用于计算极限的函数。 limit 函数以其最基本的形式将表达式作为参数,并在自变量变为零时找到表达式的极限。
例如,让我们计算函数的极限f(x)=(x 3 + 5)/(x 4 + 7),因为x趋于零。
syms x limit((x^3 + 5)/(x^4 + 7))
MATLAB将执行上述语句并返回以下结果-
ans = 5/7
极限函数属于符号计算领域。您需要使用 syms 函数来告诉MATLAB您正在使用哪些符号变量。您还可以计算函数的极限,因为变量趋向于除零以外的某个数字。为了计算lim x-> a (f(x)),我们使用带参数的limit命令。第一个是表达式,第二个是 x 逼近的数字,这里是 a 。
例如,让我们计算函数的极限f(x)=(x-3)/(x-1),因为x趋于1。
limit((x - 3)/(x-1),1)
ans = NaN
让我们再举一个实例
limit(x^2 + 5, 3)
ans = 14
使用Octave计算极限
以下是使用 symbolic 包的上述示例的Octave版本,请尝试执行并比较结果-
pkg load symbolic symbols x = sym("x"); subs((x^3+5)/(x^4+7),x,0)
Octave将执行以上语句并返回以下结果-
ans = 0.7142857142857142857
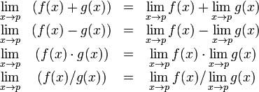
极限基本属性的验证
代数极限定理提供了极限的一些基本性质。这些如下-
让我们来看两个函数-
f(x) =(3x + 5)/(x-3)
g(x)= x 2 +1。
让我们计算两个函数的x趋于5的函数极限,并使用这两个函数和MATLAB验证极限的基本属性。
实例
创建一个脚本文件并在其中键入以下代码-
syms x f = (3*x + 5)/(x-3); g = x^2 + 1; l1 = limit(f, 4) l2 = limit (g, 4) lAdd = limit(f + g, 4) lSub = limit(f - g, 4) lMult = limit(f*g, 4) lDiv = limit (f/g, 4)
运行文件时,它显示-
l1 = 17 l2 = 17 lAdd = 34 lSub = 0 lMult = 289 lDiv = 1
使用Octave验证极限的基本属性
pkg load symbolic symbols x = sym("x"); f = (3*x + 5)/(x-3); g = x^2 + 1; l1 = subs(f, x, 4) l2 = subs (g, x, 4) lAdd = subs (f+g, x, 4) lSub = subs (f-g, x, 4) lMult = subs (f*g, x, 4) lDiv = subs (f/g, x, 4)
l1 = 17.0 l2 = 17.0 lAdd = 34.0 lSub = 0.0 lMult = 289.0 lDiv = 1.0
左右限位
当函数对某个特定值的变量具有不连续性时,此时不存在限制。换句话说,函数的极限f(x)在x = a处具有不连续性,这是因为当x的值从左侧接近x时,极限值不等于x的值从右侧接近时x极限值。
这导致了左手和右手极限的概念。左手极限定义为从x左边开始的极限,即x-> a,即x接近a时,x <a的值。右手极限定义为从右开始x-> a的极限,即对于x> a的值,x接近a。当左手极限和右手极限不相等时,该极限不存在。
让我们看一个函数-
f(x) = (x - 3)/|x - 3
我们将显示lim x-> 3 f(x)不存在。MATLAB通过两种方式帮助我们建立这一事实-
通过绘制函数图并显示不连续性。
通过计算极限并显示两者是不同的。
左手和右手极限是通过将字符串“ left”和“ right”作为最后一个参数传递给limit命令来计算的。
f = (x - 3)/abs(x-3); ezplot(f,[-1,5]) l = limit(f,x,3,'left') r = limit(f,x,3,'right')
运行文件时,MATLAB绘制以下图
在此之后显示输出-
l = -1 r = 1