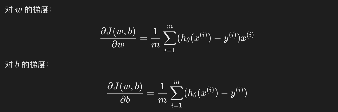
和线性回归一样,逻辑回归通常也使用梯度下降法来优化损失函数,求解参数 w 和 b。逻辑回归的梯度更新规则如下:
通过不断更新 w 和 b,直到损失函数收敛。
使用 Python 实现逻辑回归
接下来,我们将使用 Python 和 Scikit-learn 库来实现一个简单的逻辑回归模型。
1、导入必要的库
实例
import numpy as np import matplotlib.pyplotas plt from sklearn.datasetsimport load_iris from sklearn.model_selectionimport train_test_split from sklearn.linear_modelimport LogisticRegression from sklearn.metricsimport accuracy_score, confusion_matrix, classification_report
import numpy as np import matplotlib.pyplotas plt from sklearn.datasetsimport load_iris from sklearn.model_selectionimport train_test_split from sklearn.linear_modelimport LogisticRegression from sklearn.metricsimport accuracy_score, confusion_matrix, classification_report
# 加载数据集
iris = load_iris()
X = iris.data[:, :2]# 只使用前两个特征
y =(iris.target!=0) * 1# 将目标转化为二分类问题
import numpy as np import matplotlib.pyplotas plt from sklearn.datasetsimport load_iris from sklearn.model_selectionimport train_test_split from sklearn.linear_modelimport LogisticRegression from sklearn.metricsimport accuracy_score, confusion_matrix, classification_report
# 加载数据集
iris = load_iris()
X = iris.data[:, :2]# 只使用前两个特征
y =(iris.target!=0) * 1# 将目标转化为二分类问题